La penetración creciente de energías renovables está transformando de manera significativa la estructura de los mercados eléctricos, incrementando la variabilidad horaria y alterando los patrones tradicionales de operación del sistema eléctrico. En este marco, las centrales de bombeo han adquirido un papel estratégico que les permite desplazar energía de períodos de bajo precio hacia horas de mayor valor económico, proporcionando flexibilidad, estabilidad operativa y una gestión eficiente de las diferencias temporales en el mercado diario.
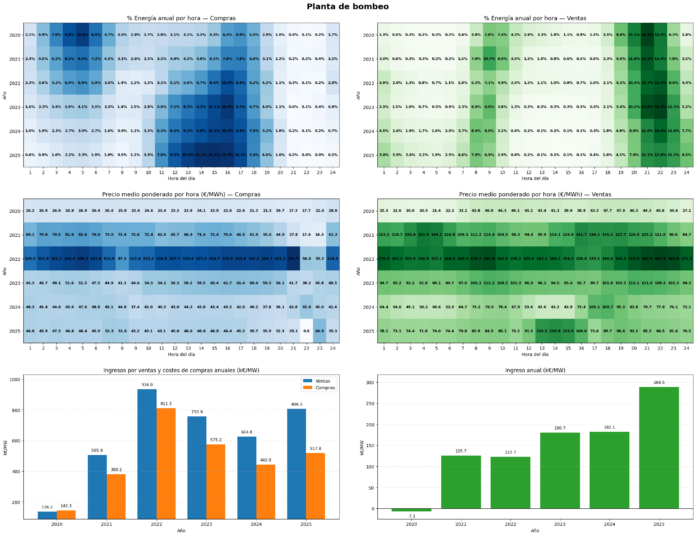
Un análisis de las operaciones en el mercado diario entre 2020 y 2025 permite entender el comportamiento operativo y económico de una planta de bombeo, a partir de la energía intercambiada en el sistema eléctrico peninsular y los precios horarios resultantes. Estos datos evidencian los patrones de operación del almacenamiento de energía a gran escala y su interacción con la formación de precios.
En la distribución horaria de la energía comprada y vendida por la planta, se observa que la mayor concentración de energía en compras se presenta durante la madrugada, cuando la demanda es reducida y los precios son bajos. En 2020 y 2021, alrededor del 10,6% y 8,5% de la energía anual se compraba a las 05:00 horas, mientras que a partir de 2022, se identifica un desplazamiento hacia las horas centrales de la tarde, con picos que alcanzan hasta el 11,3% en 2025. Este cambio refleja una focalización en horas de mayor insolación, donde el crecimiento de la energía solar fotovoltaica ha impactado directamente los precios.
En contraste, la descarga de energía se concentra entre las 21:00 y las 22:00 horas, coincidiendo con los picos de demanda y de precios del mercado. Este comportamiento resalta cómo la planta de bombeo almacena energía cuando hay abundancia y la devuelve al mercado en los momentos de mayor necesidad.
Desde el punto de vista financiero, el ingreso anual neto de la planta ha variado significativamente. En 2020, la energía comprada costó más que la vendida, reflejando unas condiciones de mercado deprimidas debido a la pandemia. Sin embargo, a partir de 2021, los ingresos comenzaron a aumentar, alcanzando niveles significativos en 2023 y 2024, y proyectando una cifra aproximada de 289 k€/MW para 2025. Este cambio indica que los precios del mercado han mostrado mayor volatilidad y oportunidades económicas, impulsadas por el aumento de la producción de energías renovables.
En cuanto al futuro, se anticipa que el webinar mensual de AleaSoft, programado para el 12 de marzo de 2026, se centrará en la evolución reciente de los mercados de energía europeos y sus perspectivas para la primavera. Se discutirá la importancia del almacenamiento y los mercados de capacidad en un sistema eléctrico que enfrenta una creciente penetración de energías renovables y volatilidad de precios. El evento contará con la participación de expertos que abordarán aspectos clave del sector, consolidando su rol como un punto de referencia para entender las transformaciones en los mercados energéticos europeos.


